Уравнения и неравенства с модулем
Теория
Примеры
Задачи
    Уравнение   с модулем  вида 
 |f(x)| = |g(x)|   
       Два числа, модули которых равны, либо равны между собой, либо отличаются только знаком.
       Данное уравнение равносильно совокупности:
Неравенство с модулем вида
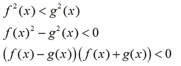
|f(x)| < |g(x)|
      Так как обе части неравенства неотрицательны, то возведём обе части неравенства в квадрат.
     Данным способом можно решать уравнения вида |f(x)| = |g(x)|.
Уравнения содержащие несколько модулей
      Уравнения, представляющие алгебраическую сумму двух и более модулей решаются методом интервалов.
Правило:
     1) находят значения х, при которых выражения, стоящие под знаком модуля, обращаются в нуль;
     2) разбивают область допустимых значений х на промежутки, на каждом из которых выражения под знаком модуля сохраняют знак;
     3) раскрывают все модули на каждом из найденных промежутков и решают полученные уравнения;
     4) объединение найденных решений составляет множество решений заданного уравнения.     
.
1) Решите уравнение |2x + 5| = |x - 1|
Решение:
Ответ:  - 6; - 4/3.
2) Решите неравенство
Решение:
Так как обе части неравенства неотрицательны, то возведём обе части неравенства в квадрат,
свойство:
Решением неравенства является промежуток (-1; 4) так как надо найти значения меньше нуля (отрицательные значения).
Ответ: ( -1; 4).
3) Решите уравнение |x - 7| + |9 + x| = 18
Решение:
Найдём нули каждого из выражений, стоящих под знаком модуля.
x - 7 = 0
x = 7
9 + x = 0
x = - 9
Числа (- 9) и 7 разбивают числовую прямую на три промежутка.
      Определим знаки каждого из выражений, стоящих под знаком модуля в каждом из промежутков. Составим таблицу знаков.
Ответ:  - 10; 8.
Задачи
№ 1 Решите неравенство:
№ 2 Решите уравнение:
№ 3 Решите уравнение:
№ 4 Решите уравнение:
№ 5 Решите уравнение:
№ 6 Решите неравенство:
№ 7 Решите неравенство:
№ 8 Решите неравенство:
Сайт  преподавателя математики Смирновой Юлии Сергеевны
г. Красноярск, Россия
2021

Контакты: 


© 2021